महाराष्ट्र गृहनिर्माण आणि क्षेत्र विकास प्राधिकरण (म्हाडा) ही लॉटरी पद्धतीने महाराष्ट्रातील लोकांना अनुदानित दरात घरे उपलब्ध करून देण्याची जबाबदारी घेते. मुंबईत, परवडणारी घरे म्हाडा मुंबई बोर्डामार्फत विकली जातात. म्हाडा मुंबई बोर्डाच्या लकी ड्रॉमध्ये कमी किमतीची घरे उपलब्ध होतात ज्यामुळे मुंबईतील अनेक लोक ती लॉटरीमध्ये सहभागी होण्यासाठी पसंत करतात.
म्हाडा मुंबई बोर्ड म्हणजे काय?
म्हाडा मुंबई बोर्ड मुंबई महानगर प्रदेशात लॉटरी सिस्टीमद्वारे परवडणाऱ्या घरांची युनिट्स ऑफर करते. म्हाडा मुंबई लॉटरीमध्ये सहभागी होण्यासाठी housing.mhada.gov.in वेबसाइटवर लॉग इन करावे लागेल.
म्हाडा मुंबई बोर्ड हाऊस लॉटरी 2025 म्हणजे काय?
म्हाडा मुंबई बोर्ड हाऊस लॉटरी 2025 ही एक सरकारी उपक्रम आहे जी विविध उत्पन्न श्रेणीतील लोकांना परवडणारी घरे देते. म्हाडा मुंबई बोर्डाद्वारे आयोजित या लॉटरीचा उद्देश मुंबईतील विविध ठिकाणी संरचित आणि कमी किमतीच्या घरांचे पर्याय आणणे आहे. पारदर्शक संगणकीकृत म्हाडा लॉटरीद्वारे अर्जदार अनुदानित किमतीत ही घरे खरेदी करण्यासाठी सहभागी होऊ शकतात.
म्हाडा मुंबई बोर्ड नियमितपणे गृहनिर्माण युनिट लॉटरी देते ज्यामुळे शहरातील घरांच्या गरजा पूर्ण होतात.
म्हाडा लॉटरी मुंबई 2025: थोडक्यात माहिती
| द्वारे ऑफर केलेली लॉटरी | म्हाडा मुंबई मंडळ |
| 15 सप्टेंबर 2025 | |
| म्हाडा मुंबई लॉटरी ऑनलाइन अर्ज पोर्टलवर होणार नवीनतम लॉटरी | https://housing.mhada.gov.in/ |
| म्हाडा रिफंड पोर्टल | https://postlottery.mhada.gov.in/login.do |
म्हाडा मुंबई लॉटरी 2025 मध्ये 5,000 युनिट्स देण्यात येणार आहेत.
म्हाडा मुंबई बोर्ड 2025 च्या दिवाळीत घरांची लॉटरी काढणार होता आणि मुंबई आणि त्याच्या उपनगरांमध्ये 5,000 हून अधिक घरांचे वाटप करणार होता. तथापि, HT.com च्या वृत्तानुसार, 2025 मध्ये लॉटरी होणार नाही. कारण मुंबई म्हाडा लॉटरीचा भाग असलेले अनेक प्रकल्प बांधकामाधीन होते जे सर्वोच्च न्यायालयाने पर्यावरण मंजुरीला स्थगिती दिल्यामुळे विलंबित झाले होते. हे प्रकल्प दर्श नगर (वरळी), गुरु तेग बहादूर नगर (चुनाभट्टी), मोतीलाल नगर आणि पीएमजीपी कॉलनी (जोगेश्वरी) येथे आहेत. हे सर्व पुनर्विकास प्रकल्प आहेत जिथे लॉटरी युनिट्स प्रदान केले जातील.
शहरात लवकरच महापालिका निवडणुका होणार आहेत आणि त्यामुळे आचारसंहिता लागू होईल. त्यामुळे लॉटरी मार्च 2026 पर्यंत पुढे ढकलण्यात आली आहे.
म्हाडा लॉटरी मुंबई 2025 साठी कोण पात्र आहे?
म्हाडा लॉटरी मुंबई 2025 मध्ये सहभागी होण्यासाठी, खालील गोष्टी असणे आवश्यक आहे:
- महाराष्ट्राचा रहिवासी.
- वय 18 वर्षांपेक्षा जास्त असावे.
- खालील उत्पन्न श्रेणीत येत असावे.
हे देखील पहा: म्हाडा कोकण लॉटरी 2025: नोंदणी, अर्ज, कागदपत्रे
म्हाडा लॉटरी मुंबई 2025साठी उत्पन्न पात्रता किती आहे?
| श्रेणी | कुटुंबाचे दरमहा उत्पन्न |
| ईड्ब्लूएस | 25,000 रुपयांपर्यंत |
| एलआयजी | 25,001 ते 50,000 रुपये |
| एमआयजी | 50,001 ते 75,000 रुपये |
| एचआयजी | 75,001 रुपये आणि त्याहून अधिक |
म्हाडा लॉटरी मुंबई 2025साठी कोणती कागदपत्रे आवश्यक आहेत?
मुंबई म्हाडा लॉटरी २०२५ मध्ये सहभागी होण्यासाठी आवश्यक असलेली कागदपत्रे नमूद केली आहेत.
- अधिवास प्रमाणपत्र: महाराष्ट्राचे रहिवासी असल्याचे सिद्ध करण्यासाठी
- निवासी पुरावा: कायमचा पत्ता, वीज बिल, आधार कार्ड, मतदार कार्ड
- उत्पन्न प्रमाणपत्र: दरमहा मिळणारे उत्पन्न सिद्ध करण्यासाठी.
- आधार कार्ड
- पॅन कार्ड
- बँक खाते तपशील: खाते क्रमांक आणि इतर बँक तपशील
- म्हाडा लॉटरीद्वारे मागितलेली कागदपत्रे: काही विशिष्ट कागदपत्रे मागितली जाऊ शकतात, उदाहरणार्थ – जर तुम्ही विशेष राखीव कोट्यातून अर्ज करत असाल तर जातीचे प्रमाणपत्र.
- पासपोर्ट आकाराचे फोटो
हे देखील पहा: म्हाडा लॉटरी 2025: नोंदणी, अर्ज, लॉटरीच्या तारखा
म्हाडा लॉटरी फॉर्म 2025 कसा भरायचा?
- म्हाडा हाऊसिंग लॉटरी सिस्टीम IHLMS 2.0 वर https://housing.mhada.gov.in/signIn वर नोंदणी करा
- म्हाडा मुंबई लॉटरी 2025 निवडा आणि स्कीम कोड, तुमच्या बँक खात्याचे तपशील यासारखे तपशील प्रविष्ट करा आणि तुमच्या किंवा तुमच्या जवळच्या कुटुंबातील सदस्यांकडे शहरात इतर कोणतीही मालमत्ता नसल्याचे हमीपत्र स्वीकारा.
- शेवटी, म्हाडा मुंबई लॉटरी 2025 फॉर्मवर तुम्ही नमूद केलेल्या सर्व तपशीलांची पुष्टी करा.
- अर्ज केल्यानंतर अर्ज शुल्क भरा. तुम्ही म्हाडा लॉटरी 2025 साठी डिमांड ड्राफ्टद्वारे किंवा डेबिट कार्ड, क्रेडिट कार्ड किंवा NEFT/RTGS द्वारे ऑनलाइन EMD पेमेंट करू शकता.
- जर तुम्ही डिमांड ड्राफ्टद्वारे पेमेंट करत असाल, तर म्हाडा लॉटरी 2025 अर्ज फॉर्म प्रिंट करा आणि तो डीडीसह नियुक्त बँकेत सबमिट करा.
- जर तुम्ही म्हाडा लॉटरी 2025 मुंबई EMD ऑनलाइन भरत असाल, तर रद्द केलेला चेक अपलोड करा आणि म्हाडा लॉटरी 2025 बँक खात्यात पेमेंट करा. तुम्ही पेमेंट पोर्टलवरून म्हाडा लॉटरी 2025 ची पेमेंट स्लिप जनरेट करू शकता आणि भविष्यातील संदर्भासाठी ती ठेवू शकता.
- म्हाडाने अर्जाच्या पानावर एक नवीन पर्याय सुरू केला आहे ज्यामध्ये अर्जदाराची ओळख दुसऱ्या नावाने झाली आहे का असे विचारले जाते. जर हो, तर अर्जदाराला दुसरे नाव नमूद करावे लागेल. लग्नानंतर किंवा इतर कोणत्याही कारणाने ज्या महिला अर्जदारांचे नाव किंवा आडनाव बदलले आहे त्यांना म्हाडा लॉटरीसाठी नोंदणी करण्यास आणि अर्ज करण्यास मदत होते.
म्हाडा लॉटरी 2025 ची ड्राफ्ट लिस्ट कशी पहावी?
- म्हाडा मुंबई लॉटरी 2025 च्या स्वीकृत अर्जदारांची पहिली यादी ही ड्राफ्ट लिस्ट आहे आणि म्हाडा लॉटरी वेबसाइटवरील प्रकाशित अर्जांवर क्लिक करून ती तपासता येते.
- स्वीकृत लोकांची नावे पाहण्यासाठी View Accepted Application वर क्लिक करा आणि नाकारलेल्या लोकांची नावे पाहण्यासाठी View Rejected Application बटणावर क्लिक करा.

म्हाडा लॉटरी 2025 ची अंतिम यादी कशी तपासायची?
- म्हाडाची अंतिम यादी पाहण्यासाठी, म्हाडाच्या लॉटरी वेबसाइटवर, मेनू अंतर्गत प्रकाशित अर्जांवर क्लिक करा आणि तुम्ही त्या पृष्ठावर पोहोचाल.
- View Accepted Application वर क्लिक करा आणि तुम्हाला स्वीकारलेल्या अर्जांची यादी दिसेल.
- नाकारलेल्या अर्जदारांची नावे तपासण्यासाठी View Rejected Application वर क्लिक करा.
म्हाडा लॉटरी 2025 लकी ड्रॉ कसा तपासायचा?
- लकी ड्रॉचे निकाल https://housing.mhada.gov.in/ वर पाहता येतील. क्विक लिंक्स अंतर्गत, ड्रॉ निकालावर क्लिक करा. निकाल तुमच्या डिव्हाइसवर पीडीएफ स्वरूपात सेव्ह केला जाईल.
- तुम्ही ड्रॉ निकालावर पर्यायीपणे क्लिक करू शकता. अर्ज क्रमांक प्रविष्ट करा आणि निकाल पाहण्यासाठी शोध वर क्लिक करा.
म्हाडा लॉटरी 2025 गृहनिर्माण युनिट कसे स्वीकारायचे?
- म्हाडाच्या लॉटरी वेबसाइटवर लॉग इन करा आणि इरादा पत्र डाउनलोड करा.
- म्हाडा युनिट स्वीकारा, त्यावर ई-स्वाक्षरी करा आणि पुढे जा.
- लक्षात ठेवा की जर तुम्ही अनेक लॉटरी जिंकल्या असतील, तर तुम्हाला स्वीकारायच्या असलेल्या लॉटरी वगळता सर्व लॉटरी परत कराव्या लागतील.
- म्हाडा युनिट स्वीकारल्यानंतर, 180 दिवसांच्या आत पैसे भरावे लागतील ज्यानंतर तुम्ही नोंदणीसाठी एसआरओकडे जाऊ शकता.
- पैसे भरल्यानंतर, तुम्हाला महाराष्ट्र सरकारच्या नोंदणी पोर्टल igrmaharashtra.gov.in वर मालमत्तेची नोंदणी करावी लागेल.
- तुम्हाला iSarita 2.0 पोर्टलद्वारे म्हाडा लिंकद्वारे नागरिक म्हणून लॉग इन करावे लागेल आणि म्हाडा मालमत्तेची नोंदणी करावी लागेल.
म्हाडा मुंबई लॉटरी युनिट 2025 परत करण्यासाठी कोणते चरण पाळावे लागतील?
जर तुम्ही म्हाडाची लॉटरी मुंबई जिंकली असेल आणि तुम्हाला ती परत करायची असेल, तर खाली चरण-दर-चरण प्रक्रिया दिली आहे.
- म्हाडाच्या लॉटरी मोबाईल अॅपवर किंवा https://housing.mhada.gov.in/ या म्हाडाच्या लॉटरी वेबसाइटवर तुमचा पॅन आणि पासवर्ड किंवा पॅन आणि ओटीपी वापरून लॉगिन करा.
- पुढे, मेनूवर जा आणि अर्ज यादी निवडा.
- तुम्ही ज्या अर्जाचे विजेते आहात आणि परत करायचे आहे तो अर्ज निवडा.
- सरेंडर सदनिका बटणावर क्लिक करा.
- म्हाडाच्या सदनिका परत करण्याचे कारण सांगा.
- भरलेले पत्र डाउनलोड करा.
- पत्राची प्रिंट आउट घ्या, त्यावर स्वाक्षरी करा आणि म्हाडा विभागाकडे सबमिट करा.
म्हाडा मुंबई युनिट परत केल्यास किती ईएमडी कमी होईल?
- जर तुम्ही अंतिम तात्पुरते ऑफर लेटर (POL) जारी करण्यापूर्वी सदनिका परत केली तर तुम्हाला तुमची बयाणा रक्कम (EMD) रक्कम परत मिळेल.
- जर तुम्ही POL लेटर मिळाल्यानंतर सदनिका परत केली तर EMD च्या १०% वजा केले जातील आणि उर्वरित EMD तुम्हाला परत केली जाईल.
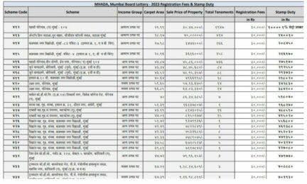
म्हाडा लॉटरी 2025 मुंबई: मुद्रांक शुल्क आणि नोंदणी शुल्क
- म्हाडा मुंबई लॉटरी 2025 मध्ये जिंकलेल्या युनिटचा स्वीकार करणाऱ्या सर्व लॉटरी विजेत्यांना ऑनलाइन करता येणारे स्टॅम्प ड्युटी आणि नोंदणी शुल्क भरावे लागेल.
- म्हाडा म्हाडा लॉटरीच्या वेबसाइटवर भरायची रक्कम प्रकाशित करते.
- ही रक्कम स्थान, क्षेत्र इत्यादींवर आधारित असते. तसेच, अर्जदाराच्या सोयीसाठी म्हाडा पॅन नंबर आणि टॅन नंबर अशी माहिती दिली आहे.

म्हाडा मुंबईतील तुमच्या मालमत्तेची नोंदणी कशी करावी?
जर तुम्ही म्हाडा लॉटरीद्वारे गृहनिर्माण युनिट जिंकले असेल, तर एकदा तुम्ही मालमत्ता स्वीकारली आणि पैसे दिले की, तुम्हाला ती महाराष्ट्र राज्य सरकारकडे नोंदणी करावी लागेल जेणेकरून ती कायदेशीर नोंदींमध्ये असेल.
- म्हाडा लॉटरी 2025 युनिट स्वीकारल्यानंतर आणि पैसे दिल्यानंतर, तुम्हाला ती महाराष्ट्र राज्य सरकारकडे नोंदणी करावी लागेल.
- म्हाडा लॉटरी 2025 मालमत्ता नोंदणी करण्यासाठी, https://igrmaharashtra.gov.in/Hom वर लॉग इन करा
- म्हाडा वर क्लिक करा

- तुम्ही iSarita 2.0 पेजवर पोहोचाल.
- नागरिक म्हणून लॉगिन करा आणि म्हाडा मालमत्ता नोंदणी सुरू करा.
म्हाडा मुंबई लॉटरी 2025vच्या फ्लॅटचा ताबा तुम्हाला कधी मिळेल?
म्हाडाचा ताबा बांधकाम स्थितीवर अवलंबून असतो आणि लॉटरीच्या जाहिरातीच्या वेळी त्याची घोषणा केली जाईल. मीडिया रिपोर्ट्सनुसार, म्हाडाने निर्णय घेतला आहे की फक्त जे प्रकल्प स्थलांतरासाठी तयार आहेत तेच म्हाडा मुंबई लॉटरीचा भाग असतील. म्हाडा मुंबईतील फ्लॅट्सच्या ताब्याच्या नेमक्या तारखा वाटप पत्रांद्वारे कळवल्या जातील.
म्हाडा लॉटरी मुंबई 2025 परतावा धोरण
अयशस्वी अर्जदारांना लकी ड्रॉ जाहीर झाल्यानंतर सात कामकाजाच्या दिवसांत ईएमडी परतावा मिळेल. म्हाडाच्या लकी ड्रॉची तारीख जाहीर होताच म्हाडाच्या वेबसाइटवर ईएमडी परतावा तारीख नमूद केली जाते.
म्हाडा लॉटरी 2025: परतफेडीची स्थिती कशी तपासायची?
- https://www.mhada.gov.in/enn ला भेट द्या.
- लॉटरी टॅब अंतर्गत, पोस्ट लॉटरी वर क्लिक करा.

- तुम्ही https://postlottery.mhada.gov.in/login.do वर पोहोचाल.

- वापरकर्तानाव/अर्ज क्रमांक प्रविष्ट करा
- ड्रॉप-डाउन बॉक्समधून लॉटरी कार्यक्रमाचे वर्ष निवडा
- सबमिट वर क्लिक करा\
तुम्हाला एका पेजवर निर्देशित केले जाईल जिथे तुमची म्हाडा लॉटरी 2025 रिफंड स्टेटस दिसेल.
म्हाडाने दिलेल्या वेळेत तुम्हाला ईएमडी परतावा मिळाला नाही तर +91-9869988000/022-66405000. वर संपर्क साधा.
म्हाडा लॉटरीसाठी ऑफलाइन अर्ज करणे शक्य आहे का?
नाही, सर्व प्रक्रिया म्हाडा पोर्टल किंवा मोबाईल अॅप्लिकेशनद्वारे पूर्णपणे ऑनलाइन आहेत. म्हाडा लॉटरी कोणत्याही ऑफलाइन पद्धतीने लागू करता येत नाही.
म्हाडा लॉटरी 2025: मोबाईल अॅप
तुम्ही म्हाडा मुंबई लॉटरीसाठी गुगल प्ले स्टोअर किंवा अॅपल स्टोअरवरून डाउनलोड करता येणारे म्हाडा मोबाईल अॅप वापरून अर्ज करू शकता. यासाठी,
- 1. गुगल प्ले स्टोअर किंवा अॅपल अॅप स्टोअर वर जा.
- 2. “म्हाडा आयएचएलएमएस 0” शोधा.
- 3. अॅप्लिकेशन डाउनलोड आणि इन्स्टॉल करा.
तुम्ही तुमचा मुंबई म्हाडा फ्लॅट कसा विकू शकता?
मुंबई म्हाडाच्या फ्लॅट मालकाला म्हाडाचा फ्लॅट विकण्यापूर्वी पाच वर्षांसाठी तो ठेवावा लागतो. लक्षात ठेवा की म्हाडाच्या मुंबईतील मालमत्तेची नोंदणीकृत विक्री कराराऐवजी पॉवर ऑफ अॅटर्नी (पीओए) द्वारे विक्री करणे बेकायदेशीर आहे. उल्लंघन आढळल्यास, नवीन खरेदीदाराला घराबाहेर काढण्याचा धोका असेल.
म्हाडा मुंबई लॉटरी: बांधकामाधीन प्रकल्प
- म्हाडा AIT AIT स्थळ गोरेगाव
- म्हाडा चारकोप जिनप्रेम चासल-चारकोप
- म्हाडा श्रीनिवास मिल- लोअर परळ
- म्हाडा लेआउट- सेक्टर 8, चारकोप
म्हाडामध्ये 20% समावेशक योजना महत्त्वाची
4,000 चौरस मीटरपेक्षा जास्त क्षेत्रफळ असलेल्या सर्व प्रकल्पांमध्ये बांधकाम प्रकल्पांमध्ये 20 % राखीव ठेवावे आणि ती माहिती म्हाडाला द्यावी लागेल. विकासकांनी ही माहिती म्हाडाला न सांगण्याची काही प्रकरणे समोर आली आहेत. लोकसत्ता मराठीच्या वृत्तानुसार, म्हाडा दक्षता विभागाने कारवाई केली आहे ज्याच्या आधारे हे आता थांबेल आणि लोक 20 % योजनेचा लाभ घेऊ शकतील.
म्हाडाला 20 % योजनेची माहिती दिल्यानंतर, सहा महिन्यांच्या आत सामान्य जनतेसाठी या बांधकामाधीन प्रकल्पांवर लॉटरी काढली जाते. विजेत्यांची यादी विकासकांना देण्यात यावी. जर सहा महिन्यांच्या आत विजेत्यांची यादी देण्यात आली नाही, तर महाराष्ट्र सरकारने इतर अधिकाऱ्यांमार्फत विजेत्यांची नावे द्यावीत.
म्हाडा एमबीआरआर बोर्डाने मुंबईत 178 अर्जदारांसाठी लॉटरी काढली
म्हाडाच्या मुंबई इमारत दुरुस्ती आणि पुनर्बांधणी मंडळाने (एमबीआरआरबी) 24 एप्रिल 2025 रोजी दुपारी 1 वाजता भारतरत्न गुलझारीलाल नंदा हॉल, म्हाडा मुख्यालय, वांद्रे (पूर्व) येथे मास्टर लिस्टमध्ये सूचीबद्ध असलेल्या 178 पात्र अर्जदारांसाठी संगणकीकृत लॉटरी ड्रॉ काढला.
नागरिकांसाठी घरांची सुरक्षितता सुनिश्चित करण्याच्या म्हाडाच्या आदेशाची पूर्तता करून, सेस इमारतींमधील पात्र रहिवाशांना कायमस्वरूपी घरे उपलब्ध करून देण्याचा प्रयत्न करणाऱ्या म्हाडाच्या 100 दिवसांच्या कृती आराखड्यात हा उपक्रम एक महत्त्वाचा घटक आहे.
या लकी ड्रॉमध्ये सुमारे 105 लोकांना घरे देण्यात आली. याव्यतिरिक्त, म्हाडाचे उपाध्यक्ष आणि मुख्य कार्यकारी अधिकारी संजीव जयस्वाल यांनी नमूद केले की, मुंबई इमारत दुरुस्ती आणि पुनर्बांधणी मंडळाच्या (एमबीआरआरबी) मास्टर लिस्टमध्ये सूचीबद्ध असलेल्या पात्र मूळ भाडेकरू आणि रहिवाशांना त्यांच्या जुन्या निवासी युनिट्सच्या परवानगीयोग्य किंवा मूळ क्षेत्रापेक्षा जास्त वाटप केलेल्या अतिरिक्त क्षेत्रासाठी, रेडी रेकनर दराच्या फक्त 100% आकारले जातील, जे पूर्वीच्या 110% ऐवजी फक्त 100% आकारले जातील. ही सवलत डिसेंबर 2023च्या लॉटरीत पात्र घोषित झालेल्या लाभार्थ्यांना पूर्वलक्षी प्रभावाने लागू केली जाईल. यासाठी एक नवीन धोरणात्मक चौकट 28 एप्रिल 2025 पर्यंत अंतिम केली जाईल.
म्हाडा मुंबई जुनी लॉटरी
म्हाडा मुंबईच्या जुन्या लॉटरीची माहिती खाली दिली आहे.
म्हाडाची लॉटरी मुंबई (ऑगस्ट 2024)
मुंबईतील म्हाडा लॉटरी 2024 ची शेवटची लॉटरी 9 ऑगस्ट 2024 रोजी जाहीर झाली होती ज्याअंतर्गत 2030 फ्लॅट देण्यात आले होते. ऑनलाइन नोंदणी आणि अर्ज प्रक्रिया 9 ऑगस्ट 2024 रोजी सुरू झाली. लॉटरीची शेवटची तारीख सप्टेंबर 2024 होती आणि लकी ड्रॉ 8 ऑक्टोबर 2024 रोजी यशवंतराव चव्हाण प्रतिष्ठान, नरिमन पॉइंट, मुंबई येथे काढण्यात आला.
म्हाडा लॉटरी मुंबई: युनिट्सची ठिकाणे दिली आहेत
- पहाडी गोरेगाव
- अँटॉप हिल-वडाळा
- कोपरी पवई
- कन्नमवार नगर-विक्रोळी
- शिवधाम कॉम्प्लेक्स-मालाड
म्हाडा लॉटरी: प्रत्येक श्रेणी अंतर्गत युनिट्स
| EWS | 359 |
| LIG | 627 |
| MIG | 768 |
| HIG | 276 |
| Total | 2030 |
घरांच्या युनिट्सची किंमत
म्हाडा लॉटरी 2024 मुंबईमध्ये देण्यात आलेल्या युनिट्सच्या मालमत्तेच्या किमती 29 लाख रुपयांपासून ते 6 कोटी रुपयांपर्यंत होत्या. म्हाडाच्या मते, 2024 च्या दिवाळीपूर्वी युनिट्सचा ताबा देण्यात येणार होता.
Housing.com POV
म्हाडा लॉटरी मुंबई 2025 ही मुंबईतील लोकांना मुंबई महानगर प्रदेशात परवडणारी घरे उपलब्ध करून देणारी एक सोपी लॉटरी आहे. ही एक संगणकीकृत आणि पारदर्शक लॉटरी प्रणाली आहे ज्याद्वारे स्वप्नांचे शहर असलेल्या मुंबईत पक्के घर घेण्याचे त्यांचे स्वप्न पूर्ण करता येते. घरे विविध श्रेणींमध्ये लक्ष्यित आहेत आणि विविध श्रेणींमध्ये किमतींमध्ये देखील उपलब्ध आहेत. म्हाडा मुंबई बोर्डाने आपला खेळ वाढवला आहे आणि सामान्य बाजारपेठेत ऑफर केल्या जाणाऱ्या प्रकल्पांप्रमाणेच गृहनिर्माण युनिट्स ऑफर केले आहेत – स्विमिंग पूल आणि क्लब हाऊससह सुविधा असलेले प्रकल्प. या बदलामुळे, लोकांना सुविधांसह घर खरेदी करायचे आहे आणि कमी व्याजदराने सोप्या गृहकर्ज पर्यायांसह परवडणारा पर्याय मिळेल.
वारंवार विचारले जाणारे प्रश्न
आमच्या लेखाबद्दल काही प्रश्न किंवा दृष्टिकोन आहे का? आम्हाला तुमच्याकडून ऐकायला आवडेल. आमचे मुख्य संपादक झुमुर घोष यांना jhumur.ghosh1@housing.com वर लिहा.





